网站首页  词典首页


请输入您要查询的字词:

 

字词 有机物的氧化及菌体的氧化计算
类别 中英文字词句释义及详细解析
释义 有机物的氧化及菌体的氧化计算

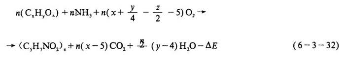
[说明]由于活性污泥的作用,废水和污水中的一部分有机物按照式6-3-31被氧化;而另一部分有机物按照式6-3-32用于增长活性污泥。如果水中有机物减少了的话,活性污泥则按照式6-3-33,通过细胞内呼吸作用来获得生存所需要的能量。而且,在式6-3-31中所产生的能量,按照式6-3-32,也同样可以作为生存所需要的能量。

1.有机物的氧化

2.菌体(细胞质)的合成

3.菌体的氧化(细胞内呼吸)

以上各式中 CxHyO2——有机营养物

(C5H7O2)n——菌体中的细胞质

△E——反应热

随便看

 

离鸟网收录3541549条中英文词条,其功能与新华字典、现代汉语词典、牛津高阶英汉词典等各类中英文词典类似,基本涵盖了全部常用中英文字词句的读音、释义及用法,是语言学习和写作的有利工具。

 

Copyright © 2004-2024 vtrois.com All Rights Reserved
更新时间:2026/4/7 11:34:27