网站首页  词典首页


请输入您要查询的字词:

 

字词 有理数乘法法则
类别 中英文字词句释义及详细解析
释义 有理数乘法法则

两数相乘,同号得正,异号得负,绝对值相乘.任何数与0相乘,积仍为0.

注意 1.几个有理数相乘,因数都不为0时,积的符号由负因数的个数决定.当负因数有奇数个时,积为负;当负因数有偶数个时,积为正.积的绝对值等于各个因数绝对值的积.

2.几个有理数相乘,有一个因数为0时,积为0.

3.在有理数运算中,乘法交换律,乘法结合律、乘法分配律仍然成立.

4.因数中有带分数时,须化成假分数,再相乘.

5.类似-9917/18×9这种题目,注意拆项的技巧.把-9917/18拆成-100+1/18再与9相乘.

例1 计算

(-100)×(-20)-(-3)=__.

答 2003.

[解析] 原式=2000+3=2003.

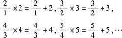
例2 观察下列各式:

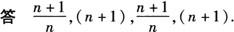
想一想什么样的两数之积等于两数之和?设n表示正整数,用关于n的等式表示这个规律为:____=__+__.

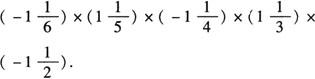
例3 计算

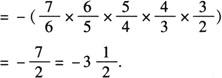
解 原式

[解析] 几个不等于0的数相乘,积的符号由负因数的个数决定:负因数有奇数个,积为负;负因数有偶数个,积为正,积的符号确定之后,其余运算与小学的求积方法相同.

[解析] 合理拆项后利用乘法分配律.

随便看

 

离鸟网收录3541549条中英文词条,其功能与新华字典、现代汉语词典、牛津高阶英汉词典等各类中英文词典类似,基本涵盖了全部常用中英文字词句的读音、释义及用法,是语言学习和写作的有利工具。

 

Copyright © 2004-2024 vtrois.com All Rights Reserved
更新时间:2026/4/9 5:15:36