网站首页  词典首页


请输入您要查询的字词:

 

字词 有限差分与差商
类别 中英文字词句释义及详细解析
释义 有限差分与差商

设函数y=f(x)在结点x0<x1<…<xn(常取xk=x0+kh)处的值为y0,y1,…,yn,即f(xk)=yk(k=0,1,2。…n)。

15.2.1 有限差分

向前差分:

一阶向前差分 △yk=yk+1-yk

二阶向前差分 △2yk==△yk+1-△yk

……………………………

m阶向前差分 △myk=△m-1yk+1-△m-1yk

向后差分:

一阶向后差分 yk=yk-yk-1

二阶向后差分 ▽2yk=▽yk-▽yk-1

……………………………

m阶向后差分 ▽myk=▽m-1yk-▽m-1yk-1

中心差分:

一阶中心差分=yk+1-yk

二阶中心差分 δ2yk=

………………………………

m阶中心差分

δmyk=(m为偶数)

或δmyk+m-1yk+1-δm-1yk(m为奇数)

三种差分间的关系:▽kyk=△ky0;δ2kyk=△2kyo;δ2k+1yk+=△2k+1y。

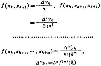
15.2.2 差商(均差)

一阶差商 f(xk,xk+1)=

二阶差商 f(xk,xk+1,xk+2)

若f(x)在〔a,b〕上n次可微,x0,x1,…,xn是〔a、b〕内的(n+1)个不同点,则存在ξ(α<ξ<b)使得

对于等距结点,差分、差商和导数间存在如下关系:

随便看

 

离鸟网收录3541549条中英文词条,其功能与新华字典、现代汉语词典、牛津高阶英汉词典等各类中英文词典类似,基本涵盖了全部常用中英文字词句的读音、释义及用法,是语言学习和写作的有利工具。

 

Copyright © 2004-2024 vtrois.com All Rights Reserved
更新时间:2026/4/8 9:31:52