网站首页  词典首页


请输入您要查询的字词:

 

字词 期末付固定年金现值计算
类别 中英文字词句释义及详细解析
释义 期末付固定年金现值计算

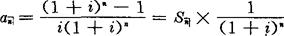
年金计算方法。其特性:(1)每逢期末支取款项(2)每期支取金额固定(3)分期领款,整存零取。其公式(以每次支取金额1元为基数):

其中,an期末付1元固定年金现值,S=期末付1元固定年金总值,n=时期,i=利率。例如:某人计划4年内每年年底取款100元,如按年复利4%计息,问其现在一次应存入银行多少钱?根据公式:

随便看

 

离鸟网收录3541549条中英文词条,其功能与新华字典、现代汉语词典、牛津高阶英汉词典等各类中英文词典类似,基本涵盖了全部常用中英文字词句的读音、释义及用法,是语言学习和写作的有利工具。

 

Copyright © 2004-2024 vtrois.com All Rights Reserved
更新时间:2026/4/7 11:45:17