网站首页  词典首页


请输入您要查询的字词:

 

字词 木犀草素[中]
类别 中英文字词句释义及详细解析
释义 木犀草素[中]

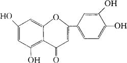
C15H10O6=286.23

CAS-491-70-3

2-(3,4-二羟苯基)-5,7-二羟-4H-1-苯并吡喃-4-酮。

2-(3,4-Dihydroxyphenyl)-5,7-dihydroxy-4H-1-ben zopyran-4-one.

镇咳平喘药。

Luteolin,Digitoflavone.

木犀草素片。

MI.

随便看

 

离鸟网收录3541549条中英文词条,其功能与新华字典、现代汉语词典、牛津高阶英汉词典等各类中英文词典类似,基本涵盖了全部常用中英文字词句的读音、释义及用法,是语言学习和写作的有利工具。

 

Copyright © 2004-2024 vtrois.com All Rights Reserved
更新时间:2026/4/10 6:55:00