网站首页  词典首页


请输入您要查询的字词:

 

字词 木素磺酸的生成和溶解
类别 中英文字词句释义及详细解析
释义 木素磺酸的生成和溶解

1.木素磺酸的生成

木材中的木素在蒸煮酸的作用下生成固体的木素磺酸,这一过程伴随著脆间层中木素的膨润。

亚硫酸氢盐的阳离子的性质对木素的膨润和酸液的浸透性都有很大的影响。含有钠盐基的酸液比含有二价阳离子的酸液较为有利,而同为二价阳离子的镁要比钙好一些。

木素的磺化反应过程具有局部化学反应的特性。它由蒸煮酸能达到的表面逐渐向内部扩展。

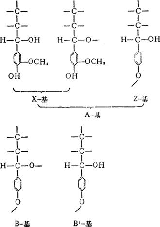
根据一些研究者的试验结果,假设了在天然木素中至少有两种具有磺化能力的基存在,即A-基和B-基。A-基可在酸性、中性以及弱碱性介质中磺化,按磺化速度A-基又可区分为X-基(很快磺化的)和Z-基(缓慢磺化的)。B-基在中性介质中不磺化,而只有在蒸煮液对它起水解作用和使它变成也能在中性介质中磺化的B′-基时才具有磺化能力。

提高蒸煮液中过剩游离酸的浓度能加速木素的磺化过程(表6-3-17)。如过剩游离酸浓度不变,而增加蒸煮液中亚硫酸氢盐的含量,磺化过程也可以稍为加快(表6-3-18)。

表6-3-17 蒸煮液中过剩游离酸浓度对木素磺化程度的影响

注:磺化时间6小时反应范围内的温度100℃

表6-3-18 蒸煮液中亚硫酸氢盐浓度对木素磺化程度的影响

在温度低于100℃的SO2水溶液的作用下,木素的磺化进行很快,但是当温度超过100℃时,由于缺乏缓冲物,木素在SO2水溶液的作用下会剧烈地降低其反应能力(表6-3-19)。此时,木素的磺化速度较有盐基存在时慢得多。在SO2水溶液中加热木片时,保持木素反应能力的最适宜的pH值是4~5。

表6-3-19 用5%SO2水溶液处理木片时,温度对木素反应能力的影响

注:用SO2水溶液处理3小时。对处理过的木片作进一步亚硫酸盐蒸煮。酸液成分:T.A.7.5%,CaO0.9%,4小时内升温到140℃,在140℃蒸煮5小时。

温度对木素磺化速度的影响很大,如温度提高10℃,木素的磺化速度约可增加到两倍。但是在较高温度下,木素的磺化过程总是或多或少地同时发生与之相反的反应,即降低木素的反应能力,也就是阻碍磺化的过程。

木素在蒸煮过程中反应能力的降低,一般认为是因木素间发生缩合所引起的,但是也有认为木素的胶体化学变化在这一过程中起著重要的作用。

反应能力低的木素虽然在亚硫酸盐蒸煮中也能被磺化,但是其磺化速度却很慢,并且只有向它引入更多的硫(成SO3H状)后,才能使它溶解到蒸煮液中去。木素反应能力愈低,这种情况也就愈严重。这一过程最终将导致“黑煮”。

木素的磺化和缩合是亚硫酸盐蒸煮中互相对立而又互相影响著的两个反应。木索的磺化使它具有避免缩合的能力,而缩合则使木素的磺化反应能力下降。

2 木素磺酸的溶解

木素磺酸的溶解与它的形成儿乎是同时进行的。

固体的木素磺酸具有阳离子交换的性质,所以它容易和周围介质中的金属阳离子发生置换反应而生成相应的木素磺酸盐。但是这种置换又是可逆的。

在木片周围的介质中有氢离子存在时,部分木索磺酸呈游离状态。蒸煮酸中氢离子浓度愈高,则不与金属阳离子结合的固体木素磺酸的量愈多。游离的固体木素磺酸能在热水中溶解。固体木素磺酸的溶解速度随它本身含硫量的增加而提高(表6-3-20)。

表6-3-20 SO2水溶液中木素的磺化程度对其溶解度的影响

注;水溶液中SO2浓度6.4%.磺化木素溶解条件:在115℃下4小时。

提高温度,增加蒸煮液中过剩游离酸的浓度会提高木素磺酸的溶解速度。当金属阳离子存在,同时溶液中这些金属阳离子的浓度愈高,木索磺酸的溶解度速度愈缓慢。

随便看

 

离鸟网收录3541549条中英文词条,其功能与新华字典、现代汉语词典、牛津高阶英汉词典等各类中英文词典类似,基本涵盖了全部常用中英文字词句的读音、释义及用法,是语言学习和写作的有利工具。

 

Copyright © 2004-2024 vtrois.com All Rights Reserved
更新时间:2026/4/7 17:07:47