网站首页  词典首页


请输入您要查询的字词:

 

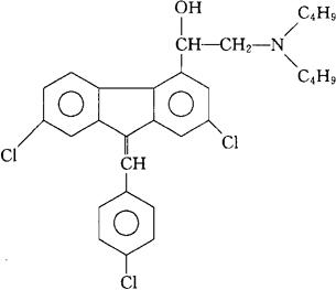
字词 木芴醇
类别 中英文字词句释义及详细解析
释义 木芴醇

C30H32Cl3NO=528.94

α-(二丁氨基甲基)-2,7-二氯-9-(对-氯苯亚甲基)-4-芴甲醇。

α-(Dibutylaminomethyl)-2,7-dichloro-9-(p-chlorophenylmethylene)-4-fluorene methanol.

抗疟药。

Benflumetol.

木芴醇胶丸。

随便看

 

离鸟网收录3541549条中英文词条,其功能与新华字典、现代汉语词典、牛津高阶英汉词典等各类中英文词典类似,基本涵盖了全部常用中英文字词句的读音、释义及用法,是语言学习和写作的有利工具。

 

Copyright © 2004-2024 vtrois.com All Rights Reserved
更新时间:2026/5/26 22:10:56