权重分析法
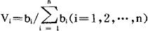
是一种定性分析和定量分析相结合的决策方法。 这种方法可适用于多目标、多准则等各种类型问题的决策。这里仅就单目标C的决策问题介绍方法的基本理论和具体计算步骤。 设决策问题的目标C由n个互相独立的基本因素A1,A2,…,An所决定。一般来说,每个因素对目标的贡献是不相同的,对某些问题而言,这种贡献的大小明显地可以用一个数来测度它,但对另一些问题则可能不行。 权重分析法就是通过对诸因素的分析、对比,定量地给出诸因素对目标贡献大小的一种决策方法。 权重分析的具体作法是首先逐对比较基本因素Ai和Aj对目标C的贡献大小,给出它们之间的相对比重aij。 例如通过分析、对比认为Ai和Aj对目标有差不多的贡献时,可取aij=1;认为Ai比Aj贡献稍大时,取aij=3;认为Ai比Aj的贡献大时,取aij=5;认为Ai比Aj的贡献很大时,取aij=7;认为Ai的贡献远远超过Aj时,则取aij=9等等;且当Ai比Aj贡献小时,令 。通过分析、计算、对比、调查研究就可确定aij的值。 把得到的aij列成如下矩阵  我们称矩阵A为判断矩阵。 第二步是根据得到的判断矩阵A估算出诸因素Ai对目标贡献的相对定量大小μi。 一般我们称μi为因素Ai对目标的权重,简称权重。权重的确定和具体算法简述如下;若因素Ai对目标C的贡献在客观上是可以用一个数量bi来测度,则  式中Vi为因素Ai的精确的权重。 令  如果我们得到的判断矩阵A是比较符合实际情况的,则aij和bij比较接近,即 aij~bij,A~B 将和Vi接近。为此,我们把μi称为因素Ai的近似权重或简称权重。 由以上的分析知,如果我们已经获得了一个中肯的判断矩阵A,则只要求出A的绝对值最大的特征值λn及其相应的特征向量a,就可以由公式μi= 求出因素Ai的权重。 各因素的权重求出后,则可以结合实际情况进行结果分析,即当μi→大时,则对目标贡献大,当μi→小时,则对目标贡献小。 |