材料的刚度
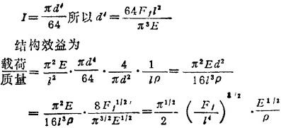
在设计过程中,为了减轻零件质量,常选用高强度材料。然而,如考虑不周,则会产生刚度不足的后果。因为材料的弹性模量E值不受热处理强化等冶金因素的影响。在采用高强度材料时,零件截面可相应减小,这就导致截面惯性矩I的降低,有可能出现变形过大或弹性失稳而失效。图2.4-5是几种因弹性失稳而失效的示例。须知,E是材料刚度的标志,而I是设计刚度的标志,二者应予区分。如果由于其他有利因素而采用低E值的材料,则设计时必须增加设计刚度(增大I值),以抵销低刚度材料的不利影响。例如铝及铝合金的密度小、强度高、加工性优良,但E值低,因此,铝合金多数用于生产I值大的各种异型材。 表2.4-11列出若干种材料的弹性模量E值、密度ρ值以及某些种承载零件按刚度选材时的判据(考虑最小质量)。表中所列判据E1/2/ρ的值(即结构效益值)愈大,则质量愈小。如前所述,若须考虑最低材料费用时,则应以Pmρ/E1/2作为选材判据。 表2.4-11 材料的E值、ρ值及刚度选材判据 悬臂梁的挠度δ=Fι3/3EI。如果梁的横截面是方形,宽度为b,则刚度为  故对给定的刚度E/δ而言,当ρ/E1/2最小时,梁的质量最小。对于板、盘状件,当ρ/E1/3最小时,零件质量最小。 例2.4-2如图2.4-5(α)所示受压长杆,作为考虑其弹性失稳的选材过程如下: 依照欧拉(Euler)公式,发生侧弯的临界负载Fj=(π2EI)/l2,设长杆为圆形截面,其直径为d,则截面惯性矩为  所以选材的判据是E1/2/ρ |