网站首页  词典首页


请输入您要查询的字词:

 

字词 杜仲
类别 中英文字词句释义及详细解析
释义 杜仲

【概况】:

异名 木绵(《别录》),檰(《图经本草》)。

基源 为杜仲科杜仲属植物杜仲的干燥树皮及枝、叶。杜仲属仅1种,中国特产植物。

原植物 杜仲Eucommia ulmoides Oliver,又名丝连皮、丝楝皮(《中药志》),扯丝皮(《湖南药物志》),丝楝树、棉树(湖北)。

历史 杜仲《本经》始载,列为上品。

《纲目》列于木部乔木类。在《证类本草》中引宋《图经本草》云:“叶如辛夷亦类柘,其皮类厚朴,折之内有白丝相连……江南渭之棉,初生叶嫩时采食,谓之棉芽,花实苦涩,亦堪入药;木作履,亦主益脚。”以上所述,实为本种。

形态 落叶乔木,高8~20m,胸径可达50cm;树皮粗糙,灰褐色,皮、枝及叶均含胶质,折断可拉出多数白色细丝。

单叶互生,叶柄长1~2cm;叶片薄革质,椭圆形或近卵形,长7~15cm,宽3.5~6.5cm,基部圆形或阔楔形,边缘有锯齿,顶端渐尖或尾尖,上面暗绿色,幼叶有褐色柔毛,老叶仅下面叶脉处被疏毛,叶面略有皱纹;侧脉6~9对。

花单性,雌雄异株,生于当年枝基部;雄花无花被,花梗长约3mm;苞片倒卵状匙形,长6~9mm,边缘有睫毛,早落;雄蕊6~10枚,花药细长,药隔突出;雌花单生,苞片倒卵形,花梗长8mm,子房无毛,扁而长,先端2裂。翅果扁平,长椭圆形,长3~3.5cm,宽1~1.3cm,先端下凹,周围具薄翅。种子1粒,扁平,线形,长1.2~1.5cm,宽约3mm。

花期4~5月,果期9月。(图见《中国高等植物图鉴》.第2册.170页.图2069)

生境与分布 生于海拔300~500m的低山谷地、低坡。分布于陕西、甘肃、江苏、浙江、河南、四川、贵州、云南。现中国各地广泛栽培。。【生药】:

栽培 宜阳光充足、气候温和湿润的环境,耐寒。

适于土层深厚、疏松肥沃的砂质壤土。用种子繁殖,通常2月下旬至4月上旬播种,播前种子需用温水浸24小时,再用湿砂拌匀,放于室内,用草帘覆盖,每2~3天翻动1次,当种子开始萌芽时播种;也可用20℃温水浸种3天(每天换水),取出沥干后播种,每亩用种量7~8kg。按行距23~30cm开浅沟条播,深3~4cm,播后覆土盖草,浇水保湿。

出苗后揭草,结合中耕除草,追肥2~3次,培育1~2年后于秋末或春初移栽定植,行株距各2.5~3m。定植后每年早春施肥1次,用堆肥、厩肥、草木灰、人畜粪等肥料穴施或环施;冬季应适当修剪枝条和地面蘖生苗,促使主干健壮成长。

采集 一般采用局部剥皮法。在清明至夏至间,选取生长15~20年以上的植株,剥取树皮,刨去粗皮,晒干。药材主产于四川、陕西、湖北、河南、贵州、云南。

此外江西、甘肃、湖南、广西等地也产。

鉴别

性状 皮板片状,少数为卷片,厚3~7mm;外表面淡灰棕色,有不规则纵槽及裂纹,并有斜方形皮孔,较厚者已刮去部分栓皮,显淡棕色而较平滑;内表面红紫色或紫褐色,光滑。质硬脆,折断面有绵密的银白色胶丝相连。以皮厚、完整、去净粗皮、断面丝多者为佳。

显微 树皮横切面:木栓组织有2~7个层带,每层带多为2~5列内壁特别增厚且木化的木栓细胞组成,在两个栓层之间为被推出的颓废皮层组织,细胞间散有石细胞群。韧皮部有5~7条木化的石细胞环带,每环带为3~5列石细胞,并偶伴有少数纤维;射线2~3列细胞,穿过石细胞环向外辐射,近石细胞环处可见胶丝团块。

(图见《中草药学》.中册.393页.图324) 粉末:深灰棕色。 ❶ 石细胞大多成群,类长方形、类方形、类圆形、多角形或不规则形,直径32~80μm,长至180μm,壁厚6~28μm,大多厚薄不匀,孔沟明显,有的分枝,胞腔大小不一,有的含橡胶质团块。
❷ 橡胶丝细长条状,稍弯曲或扭曲成团,直径8~16μm,表面略粗糙,显颗粒性。
❸ 木栓细胞表面观多角形,直径16~42μm,壁不均匀增厚,木化,纹孔细小而明显,胞腔内常含橙红色物;断面观略呈长方形,壁一边薄,另边甚厚,孔沟明显。
❹ 筛管分子端壁复筛板的筛域椭圆形,较大;侧壁上的筛域较小,类圆形。(图见《中药材粉末显微鉴定》.613页.图300)

理化 取样品粉末适量,用水煎煮,滤过,滤液用铅盐法沉淀,脱铅液点于硅胶G板上,以正丁醇-醋酸-水(4∶1∶1)为展开剂,展开后,喷三氯化铁试剂显色。另取上述脱铅液适量,浓缩,用氢氧化钾碱化,热回流水解,用盐酸酸化至pH2~3,用乙醚萃取,萃取液上硅胶柱层析,用含5%甲醇氯仿液洗脱,洗脱液点于硅胶G板上,以正丁醇-醋酸-水(5∶1∶1)为展开剂,展开后,喷三氯化铁试剂显色。(图见《中药材薄层色谱鉴别》.299页.图203A、B)

加工炮制 常用的炮制品有杜仲、盐杜仲和杜仲炭。 ❶ 杜仲 取原药材,刮去粗皮,洗净,润透,切丝或块,干燥。
❷ 盐杜仲 取净杜仲,加盐水拌匀,润透,用文火炒至断丝,表面焦黑色时,取出,放凉。

每100kg杜仲,用盐2kg。
❸ 杜仲炭 取净杜仲置锅内用武火炒至黑色并断丝,用盐水喷洒,取出,晾干。每100kg杜仲,用盐2kg。

此外,现代有用烘烤法加工。

贮藏 置通风干燥处。盐杜仲密闭,置于通风干燥处。。【化学】:

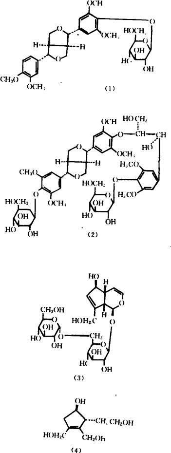
树皮中含有20多种木脂素类成分,其中包括2,6-双(羟基苯基)-3,7-二氧二环[3,3,0]辛烷糖甙[2,6-Bis(Hydroxyphenyl)-3,7-dioxybicycles[3,3,0]octane glucoside][1]、杜仲素A(Eucommin A)(1)[2]、松脂醇甙(Pinoresinol O-β-D-glucopyranoside)、松脂醇二糖甙[3]、1-羟基松脂醇4′-葡萄糖甙(1-Hydroxypinoresinol 4′-O-β-D-glucopyranoside)、1-羟基松脂醇4″-葡萄糖甙[5]、1-羟基松脂醇4,4″-双葡萄糖甙、麦地脂素4′-葡萄糖甙(拟)(Medioresinol4′-O-β-D-glucopyranoside)[4]、麦地脂素双糖甙(拟)[3]、丁香脂素甙(Syringaresinol o-β-D-glucopyranoside)[4]丁香脂素双糖甙(拟)(Liriodendrin)[3]、(+)-丁香脂素单糖甙[20]橄榄脂素(Olivil)、环橄榄脂素(Cycloolivil)[5]橄榄脂素4′-葡萄糖甙、橄榄脂素4″-葡萄糖甙[6]、橄榄脂素4′,4″-双葡萄糖甙[4]、苏式二羟基去氢双松柏醇(Erthro-dihydroxydehydrodiconiferyl alcohol)、赤式二羟基去氢双松柏醇[7,9]、去氢双松柏醇二葡萄糖甙(Dehydrodiconiferyl alcohol 4,γ′-di-o-β-D-glucopyranoside)[8]和2种倍半木脂素成分儿草素c双糖甙(Hedyotol c 4″,4″-di-O-β-D-glucopyranoside)[6]、丁香酰甘油基β-丁香脂素二葡萄糖甙(Syringylglycerol-β-syringaresinol ether 4″,4″-di-O-β-D-glucopyranoside)(2)[8];环烯醚萜类化合物包括杜仲甙(Ulmoside)(3)[1]、杜仲醇(Eucommiol)(4)、杜仲醇甙I(Eucommioside I)、京尼平甙(Geniposide)、京尼平甙酸(Geniposidic acid)、桃叶珊瑚甙(Aucubin)[6];萜类成分有白桦脂醇(Betulin)、白桦脂酸(Betulic acid)、乌苏酸(Ursolic acid)、β-谷甾醇(β-Sitosterol)[10]、胡萝卜甙[1];17种游离氨基酸,即丝氨酸、谷氨酸、脯氨酸、甘氨酸、丙氨酸、胱氨酸、缬氨酸、蛋氨酸、亮氨酸、异亮氨酸、酪氨酸、苯丙氨酸、组氨酸、苏氨酸、色氨酸、赖氨酸和精氨酸[12];2种多糖类成分杜仲多糖A(拟)(Eucomman A)[13]和杜仲多糖B(拟)[14];以及杜仲戊烯醇(Ulmoprenol)[1]、赤式和苏式愈创木基甘油(Guiacylglycerol)[5]、香草酸(Vanillic acid)、二十九烷(Nonacosane)、正三十烷醇(n-Triacontanol)[10,19]等。

杜仲的茎中含有环烯醚萜类化合物杜仲醇、1-去氧杜仲醇(1-Deoxyeucommiol、)丁香甙(Syringin)、松柏甙(Coniferin)、京尼平甙、京尼平甙酸、5-羟甲基-2-呋喃甲醛(5-Hydroxymethyl-2-furaldehyde)等成分,以及大量的葡萄糖和蔗糖[15]

从杜仲叶中得到1-去氧杜仲醇[16]、杜仲醇、桃叶珊瑚甙、山柰酚、绿原酸(Chlorogenic acid)、酒石酸、咖啡酸[1]、二氢咖啡酸(Dihydrocaffeic acid)、儿茶酚、赤式和苏式愈创木基甘油、反式-4-羟基环己甲酸(trans-4-Hydroxycyclohexane-1-carboxylic acid)、3-(3-羟基苯基)丙酸[3-(3-Hydroxyphenyl)propionic acid][16]

叶中的游离氨基酸为皮中除胱氨酸和酪氨酸外的其余15种[12]

附 种子中含脂肪油26.47~29.01%,脂肪酸的组成为亚麻酸、亚油酸、油酸、硬脂酸和棕榈酸[17]

从种子中还得到4种新的多聚环烯醚萜甙杜仲子甙A、B、C、D(拟)(UlmoidosideA、B、C、D),其化学结构系由3~4个京尼平甙酸通过C-11羧基和C-10羟甲基间形成酯键彼此相连,以及一个游离的C-11羧基乙酯化构成,碱水解后均形成唯一的产物京尼平甙酸[18]

参考文献 [1] 新华本草纲要.第1册.上海科学技术出版社,1988∶34 [2] CA 1988;108∶91694s [3] Chem Pharm Bull 1983;31(9)∶2993 [4] Chem Pharm Bull 1985;33(9)∶3651 [5] Chem Pharm Bull 1986;34(2)∶523 [6] Chem Pharm Bull 1986;34(12)∶4933 [7] Chem Pharm Bull 1987;35(5)∶1785 [8] Chem Pharm Bull 1987;35(5)∶1803 [9] Chem Pharm Bull 1988;36(1)∶435 [10] 植物学报 1986;28(5)∶528 [11] 植物学报 1989;31(2)∶132 [12] 中国中药杂志 1990;15(1)∶43 [13] Chem Pharm Bull 1990;38(7)∶1966 [14] Phytochemistry 1990;29(10)∶3091 [15] 生药学杂志(日) 1988;42(3)∶247 [16] 生药学杂志(日) 1988;42(1)∶76 [17] 中药大辞典.上册.上海人民出版社, 1977∶1032 [18] Chem Pharm Bull 1990;38(1)∶267 [19] 中药资源学 中国医药科技出版社, 1993∶241 [20] J EthnopharmacoL 1988;23(2~3)∶159 [21] 中草药 1989;20(4)∶43。【药理】:

❶ 对心血管的作用 杜仲乙醇提取物灌注大鼠离体心脏可使心跳逐渐加快,心舒完全,振幅增大;杜仲煎剂对家兔离体心脏也有明显加强作用,但对离体豚鼠心脏作用不明显;iv 5ml(1~2g生药)杜仲乙醇、水提取液能立即降低血压,并维持2~3h,有快速耐受现象[1]

杜仲叶、皮水煎剂0.4g/kg,1g/kg iv对麻醉犬有明显的降压作用,并有快速耐受现象,两者之间有交叉耐受现象[2]。杜仲的炮制与剂型对降压作用有一定影响,炒杜仲的降压作用较生杜仲为大,煎剂作用强于酊剂,炒杜仲煎剂iv 1g/kg以上剂量,血压下降可维持较长时间,但也能产生快速耐受性[1,3,4];麻醉猫iv杜仲20%水煎剂0.4~0.7ml也能观察到降压作用,但持续时间较短,剂量加大作用延长并加强,快速耐受现象不显著[4]。杜仲煎剂iv对麻醉兔也有类似作用[3]

蛙后肢血管灌注证明杜仲煎剂有扩张血管作用,0.01%浓度时滴数明显增加,浓度越高作用越明显,兔耳灌流作用亦相同。

杜仲对正常兔冠状动脉及肾血管在低浓度时多数引起血管扩张,浓度过高时反出现收缩。大鼠ig杜仲醇浸液(生药)40g/kg后,血清总胆固醇明显低于对照组[16]

❷ 免疫调节作用 ig醇沉杜仲水煎液6g/kg连续6d能激活小鼠单核巨噬细胞系统吞噬活性;ip 12g/kg 6d可激活腹腔巨噬细胞的吞噬功能,并能对抗氢化可的松的巨噬细胞系统的免疫抑制作用,且杜仲叶、枝和再生皮具有药材杜仲皮相似的药理作用[5]。ig醇沉杜仲水煎剂10g/kg×10d能抑制DNCB所致的小鼠迟发型超敏反应,并能对抗大剂量氢化可的松所致的T细胞百分率的降低,ig 20g/kg×8d可使S180荷瘤小鼠外周血中T细胞百分率增高,对细胞免疫显示双相调节作用[6];杜仲皮煎液ig 10g/kg×8d对溶血素抗体形成及天花粉所致小鼠速发型超敏反应及蛋清所致豚鼠过敏性休克均无明显影响[7]
❸ 对垂体-肾上腺皮质系统的作用 杜仲水煎剂ig 6g/kg×8d明显抑制大鼠蛋清足垫肿胀,能使大鼠外周血中嗜酸性粒细胞减少,摘除肾上腺后此作用消失;10g/kg×5d能使小鼠血中淋巴细胞百分率下降;10g/kg×8d有促进小鼠肝糖原堆积,使血糖增高;sc 10g,20g/kg×5d,使小鼠胸腺萎缩;10g/kg ig 8d对大鼠肾上腺Vc含量有所下降,皮质醇分泌升高,表明具有兴奋垂体-肾上腺皮质系统、增强肾上腺皮质功能,且叶、枝、再生皮也有类似作用[8]

❹ 中枢镇静作用 杜仲皮、叶、再生皮煎剂ip 20g/kg或ig 60g/kg可使小鼠自发活动明显减少,10g/kg ip使小鼠戊巴比妥睡眠时间显著延长[9];杜仲煎剂20~25g/kg给狗ig能使其安静、贪睡,不易接受外界刺激[10]
❺ 对子宫的作用 杜仲皮、叶水煎剂浓度从10-3增到2×10-2mol/L对离体大鼠子宫有抑制作用,并能对抗脑垂体后叶素和乙酰胆碱对子宫的兴奋作用[2]。杜仲、盐杜仲在浓度达1×10-2g/ml时可明显抑制小鼠子宫自主收缩,作用强度随药物剂量及作用时间的增加而增强,并均能拮抗乙酰胆碱引起的子宫痉挛性收缩。盐杜仲作用更强,但对垂体后叶素引起的子宫痉挛性收缩的拮抗作用,生品比盐杜仲强[11]

也有报道杜仲在2.0×10-2mol/L时兴奋家兔离体子宫,使频率增加,张力提高[12];对猫的离体子宫也呈轻微的兴奋作用,且不能对抗垂体后叶素引起的猫离体子宫收缩[4]
❻ 强壮作用 杜仲皮煎剂15g/kg ig显著延长小鼠游泳时间,10%杜仲皮、叶煎剂自饮30d,能明显延长小鼠-3℃低温环境中的生存时间,20%杜仲叶冲剂自饮28d,也有上述作用;杜仲皮煎剂ig 10g/kg,20%杜仲叶冲剂自饮28d,能延长缺氧条件下的小鼠成活时间,表明杜仲具有增强动物对外界刺激的耐受能力[13]
❼ 利尿作用 杜仲的各种制剂iv10g/kg对麻醉犬均有利尿作用,且无快速耐受现象[3],对正常大鼠亦有利尿作用[4]
❽ 延缓衰老作用 生杜仲水煎液5g,10g/kg,ig给药,可使醋酸可的松造成的类阳虚小鼠红细胞超氧化物岐化酶活力增加。从杜仲皮中分出的含环烯醚萜甙类和木脂素类的水溶性提取物200mg/kg sc连续9d能明显促进DL-3H-亮氨酸(3H-Leu)对小鼠血清、肝脏及骨髓蛋白质的掺入,亦能明显促进3H-TdR对小鼠骨髓、肝脏的掺入。杜仲枝叶的水提液有抗脂质过氧化作用,能抑制Fe2+所致的丙二醛生成,对大鼠肝脏,肌肉的脂质过氧化有明显保护作用[17,18]

❾ 其它作用 小鼠ig杜仲皮、叶枝、再生皮等制剂10g/kg×5d均能引起血桨cAMP含量升高,皮、枝、再生皮同时还使cGMP含量升高,提示其对环核苷酸代谢有调节作用[14]。杜仲皮中的木酚素二糖类对小牛心脏3′,5′-环磷酸腺苷酸二酯酶显示较强的抑制作用。

其IC50为6.3×10-5mol/L[15]

毒性 杜仲皮、叶水煎剂ip小鼠LD50分别为17.30±0.52g/kg,8.64±0.59g/kg。大鼠亚急性毒性表明,杜仲皮、叶水煎剂及皮、叶醇提取物1.75g/kg,3.5g/kg ig21d,未见明显毒性(肝、肾、白细胞数)[2]。豚鼠ip10~15g/kg,3~5d内半数死亡[1]

犬ip35%煎剂10ml/d,42d后镜检对心,肝及脾组织无病变,仅肾小管上皮细胞有轻度变性,豚鼠及大鼠情况相同[10]

参考文献 [1] 科学通报 1953;(7)∶41 [2] 药学通报 1979;14(9)∶404 [3] 新中医药 1956;7(1)∶37 [4] 福建中医药 1959;(4)∶36 [5] 中草药 1983;14(8)∶27 [6] 中草药 1985;16(9)∶15 [7] 中药通报 1986;11(3)∶54 [8] 中草药 1982;13(6)∶24 [9] 贵州药讯 1982;(4)∶15 [10] 生理学报 1956;20(4)∶247 [11] 中国中药杂志 1989;14(11)∶21 [12] 浙江中医学院学报 1983;(增刊)∶2 [13] 同济医科大学学报 1989;18(3)∶198 [14] 贵州药讯 1985;(2)∶2 [15] Chem Pharm Bull 1988;36(1)∶435 [16] 中药药理与应用 1983;486 [17] 中医药研究资料 1987;(总15)∶24 [18] 中成药研究 1988;(1)∶15。【药性】:

性味 甘、微辛,温。

❶ 《本经》:“辛,平。”
❷ 《别录》:“甘,温。”
❸ 《药性论》:“味苦。”

归经 入肝、肾经。

❶ 王好古:“肝经气分。”
❷ 《雷公炮制药性解》:“入肾经。”
❸ 《本草经解》:“入手太阴肺经。”

功效 补肝肾,强筋骨,安胎。

主治 腰脊酸疼,足膝痿弱,小便余沥,阴下湿痒,胎漏欲堕,高血压。 ❶ 《本经》:“主腰脊痛,补中益精气,坚筋骨,强志,除阴下痒湿,小便余沥。”
❷ 《别录》:“主脚中酸痛,不欲践地。”
❸ 《药性论》:“主肾冷腰痛,腰病人虚而身强直,风也。

腰不利加而用之。”
❹ 《日华子本草》:“治肾劳,腰脊挛。入药炙用。”
❺ 王好古:“润肝燥,补肝经风虚。”
❻ 《本草正》:“止小水梦遗,暖子宫,安胎气。”
❼ 《玉楸药解》:“益肝肾,养筋骨,去关节湿淫。治腰膝酸痛,腿足拘挛。”
❽ 《本草再新》:“充筋力,强阳道。”

用法用量 内服:煎汤,9~15g;浸酒或入丸、散。

使用注意 阴虚火旺者慎服。

❶ 《本草经集注》:“恶蛇皮、元参。”
❷ 《本草经疏》:“肾虚火炽者不宜用。即用当与黄柏、知母同入。”
❸ 《得配本草》:“内热、精血燥二者禁用。”。【临床应用】:

配伍应用 ❶ 配破故纸、胡桃肉,治肝肾不足之腰膝酸痛,或痿软无力。

❷ 配山茱萸、菟丝子,治阳痿、尿频。
❸ 配续断、白术,治习惯性流产。
❹ 配石决明、夏枯草,治肝阳上亢之头目眩晕。

❺ 配桑寄生、牛膝,治肾虚眩晕,头痛,耳鸣。
❻ 配牡蛎,治病后虚汗。
❼ 配羊肾、五味子,治肾虚腰痛。
❽ 配川木香,治腰痛。
❾ 配川芎、附子,治中风筋脉挛急,腰膝无力。

❿ 配夏枯草、黄芩,治高血压。

方选和验方 ❶ 杜仲丸(《太平圣惠方》)治虚劳损伤,腰脚疼痛少力:杜仲、牛膝各45g,菟丝子60g,熟地黄、桂心、茯苓、枳壳、羌活各30g。研末,炼蜜为丸,如梧桐子,每服30丸,温酒下。
❷ 杜仲丸(《证治准绳》)治妊娠二三个月,胎动不安,防其欲坠:杜仲(姜汁炒)、续断(酒浸)各60g。

为细末,枣肉为丸,梧桐子大,每服70丸,米汤送下。
❸ 杜仲丸(《圣济总录》)治妇人胞胎不安:杜仲不计多少,去粗皮细锉,瓦上焙干,捣罗为末,煮枣肉糊丸,如弹子大。每服1丸,嚼烂,糯米汤下。

❹ 杜仲饮(《圣济总录》)治中风筋脉挛急,腰膝无力:杜仲(去粗皮,炙,锉)45g,川芎30g,附子(炮裂,去皮、脐)15g。

上3味,锉如麻豆,每服10g,水500ml,入生姜1枣大,拍碎,煎至250ml,去渣,空心温服。如人行5里再服,汗出慎外风。

❺ 杜仲独活汤(《外台秘要》)治风寒湿痹腰痛:杜仲、独活各120g,桂心、芍药、葛根、炙甘草各90g,麻黄、防风、瓜蒌仁、杏仁、干地黄各60g,附子30g,生姜2g。水酒各半煎服。
❻ 杜仲散(《备急千金要方》)治羸瘦短气,五脏损,腰脊痛:杜仲、蛇床子、五味子、干地黄各6份,木防己5份,菟丝子10份,苁蓉、远志各8份,巴戟7份,研为散,每服9g,食前,温酒调下。1日3次。

❼ 杜仲散(《太平圣惠方》)治卒腰痛不可忍:杜仲60g(去粗皮,炙微黄,锉),丹参60g,川芎45g,桂心30g,细辛1g。上药捣粗罗为散,每服12g.以水200ml,煎至5分,去渣,次入酒40ml,更煎三两沸,每于食前温服。

❽ 《简便单方》:“治频惯堕胎或三四月即堕者:于两月前,以杜仲240g(糯米煎汤,浸透,炒去丝),续断60g(酒浸,焙干,为末),以山药150~180g为末,作糊丸,梧子大。每服50丸,空心米饮下。”
❾ 《本草汇言》:“治小便余沥,阴下湿痒:川杜仲120g,小茴香60g(俱盐、酒浸炒),车前子45g,山茱萸肉90g(俱炒)。共为末,炼蜜丸,梧桐子大。每早服15g,白汤下。”
❿ 杜仲皮片(陕西中医 1980;(4))“治高血压:每片相当于含生药4.9g。每次1片,每天3次。” ⑾《全国中草药汇编》:“治早期高血压病:生杜仲12g,桑寄生15g,生牡蛎18g,白菊花、枸杞子各9g。水煎服。” ⑿《全国中草药汇编》:“治腰腿酸痛:杜仲、牛膝各12g,补骨脂、红花各9g,鸡血藤15g。水煎服;或研成粗末,用白酒500g,浸泡7天,每服15ml,每日2次。” ⒀保产汤(《中药基础知识简编》)治肾虚胎动、胎漏、腹痛(先兆流产等):杜仲9g,川断9g,菟丝子6g,桑寄生9g。

水煎服。 ⒁降压片(《中草药学》)治高血压:生杜仲、益母草各22,500g,钩藤4,500g,黄芩、夏枯草各13,500g。水浸或水煎,取滤液浓缩成浸膏,加干淀粉制成颗粒(14,400g)压片,共5万片,每片0.3g。每次5片,每日3次,饭前服。

单方应用 ❶ 《三因方》:“治风冷伤肾:杜仲为末,每晚以温酒服6g。”
❷ 《肘后方》:“治病后虚汗:杜仲、牡蛎各等份,为末。卧时水服5g,不止更服。”
❸ 《肘后方》:“治频惯堕胎:杜仲焙研,枣肉为丸梧子大。每服50丸,糯米饮下。”

食疗 《中草药学》:“治腰膝酸痛,遗精:杜仲15g,猪腰子1~2个。炖服。”。

【医药家论述】:

❶ 李时珍《纲目》:“杜仲古方只知滋肾,惟王好古言是肝经气分药,润肝燥,补肝虚,发昔人所未发也。盖肝主筋,肾主骨,肾充则骨强,肝充则筋健,屈伸利用,皆属于筋。杜仲色紫而润,味甘微辛,其气温平,甘温能补,微辛能润,故能入肝而补肾,子能令母实也。按庞元英《谈薮》:一少年新娶,后得脚软病,且疼甚,医作脚气治不效。

路钤孙琳诊之,用杜仲一味,寸断片折,每以一两,用半酒半水一大盏煎服,三日能行,又三日全愈。

琳曰,此乃肾虚,非脚气也,杜仲能治腰膝痛,以酒行之,则为效容易矣。”
❷ 缪希雍《本草经疏》:“杜仲,按《本经》所主腰脊痛,益精气,坚筋骨,脚中酸痛,不欲践地者,盖腰为肾之府,经曰,动摇不能,肾将惫矣。又肾藏精而主骨,肝藏血而主筋,二经虚,则腰脊痛而精气乏,筋骨软而脚不能践地也。《五脏苦欲补泻》云,肾苦燥,急食辛以润之,肝苦急,急食甘以缓之。

杜仲辛甘具足,正能解肝肾之所苦,而补其不足者也。强志者,肾藏志,益肾故也除阴下痒湿,小便余沥者,祛肾家之湿热也。益肾补肝,则精血自足,其主补中者,肝肾在下,脏中之阴也,阴足则中亦补矣。”
❸ 倪朱谟《本草汇言》:“方氏《直指》云:凡下焦之虚,非杜仲不补;下焦之湿,非杜仲不利;足胫之酸,非杜仲不去;腰膝之疼,非杜仲不除。然色紫而燥,质绵而韧,气温而补,补肝益肾,诚为要剂。如肝肾阳虚而风湿病者,以盐酒浸炙,为效甚捷;如肝肾阴虚,而无风湿病,乃因精乏髓枯,血燥液干而成痿痹,成伛偻,以致俯仰屈伸不用者,又忌用之。”
❹ 贾所学《药品化义》:“杜仲,沉下入肾,盖肾欲坚,以苦坚之,用此坚肾气,强壮筋骨,主治腰脊酸疼,脚膝行痛,阴下湿痒,小便余沥。”
❺ 黄宫绣《本草求真》:“杜仲,入肝而补肾,子能令母实也。且性辛温,能除阴痒,去囊湿,痿痹瘫软必需,脚气疼痛必用,胎滑梦遗切要。若使遗精有痛,用此益见精脱不已,以其气味辛温,能助肝肾旺气也。

胎因气虚而血不固,用此益见血脱不止,以其气不上升,反而下降也。”

随便看

 

离鸟网收录3541549条中英文词条,其功能与新华字典、现代汉语词典、牛津高阶英汉词典等各类中英文词典类似,基本涵盖了全部常用中英文字词句的读音、释义及用法,是语言学习和写作的有利工具。

 

Copyright © 2004-2024 vtrois.com All Rights Reserved
更新时间:2026/4/8 9:52:11