杠杆重锤式加压装置产生的附加压力计算
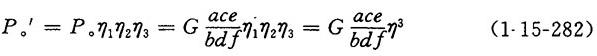
【说明】 参见图1-15-31。 1-加压机构的第一杠杆 2-第二杠杆 3-第三杠杆 4-重锤 5-上辊提升手轮 6-螺杆 7-压榨下辊 8-压榨上辊 9-压榨机架 1.不计杠杆自重和铰链的摩擦损失时产生的附加压力计算 【公式】  式中 Po——附加压力(N) G——两边重锤重量之和(N) a、b、c、d、e、f——各杆杆的臂长(cm) 2.计杠杆自重和铰链摩擦损失时的附加压力计算 【公式】 P=Po′+P1+P2-P3 (1-15-281) 式中 P——附加压力(N) Po′——重锤产生的有效附加压力(N)  η1、η2、η3——第1、2、3道杆杆除去摩擦损失而得的有效系数,通常取η1=η2=η3=ηo在润滑良好的情况下,η=0.95~0.97;而润滑不良时,η在0.8以下 P1——杠杆1自重产生的有效附加压力(N)  G1——两侧第一道杠杆自重的总和(N) P2——杠杆2自重产生的有效附加压力(N)  G2——第二道杠杆的自重(N) P3——杠杆3自重产生的有效附加压力(N)  G3——第3道杠杆的自重(N) 其它同式1-15-280 |