网站首页  词典首页


请输入您要查询的字词:

 

字词 来复式摆动液压缸设计要点
类别 中英文字词句释义及详细解析
释义 来复式摆动液压缸设计要点

(1)主要参数计算

(A)来复运动副的设计是来复式摆动液压缸设计的关键。它的结构尺寸直接决定了液压缸所需的压力和流量。当活塞受液压力作用时,来复运动副上能输出的实际转矩:

端面牙宽:

来复杆法面顶圆半径

来复杆法面根圆半径

法面牙宽

bf=bcosβ(m) (25.5-16)

法面牙隙

渐开线牙形的设计原理可参照斜齿轮设计。

来复螺旋副强度计算主要是校核其齿面挤压强度。对于矩形牙和梯形牙的螺旋副,可用下式进行强度设计或校核齿面强度。

应使σcm≤[σcm]。

式中 σcm——每个齿的工作面上产生的挤压应力(MPa);

T——来复式摆动液压缸需要传递的总转矩,可按式25.5-8求得(N·m);

φ——不均匀分配系数,取0.7~0.8;

Zc——齿数;

h——端面牙形的齿高(m),h=Rg-γg

式中 Rg——来复杆端面顶圆半径(m);

γg——来复杆端面根圆半径(m);

Scp——端面牙形上平均半径γcp上的导程(m);

[σcm]——许用挤压应力(MPa),对于经热处理的

优质结构钢可取10MPa。

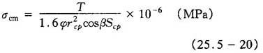
对于渐开线牙形,则用下式计算:

由于齿工作面投影面积取近似值,故式(25.5-19)和式(25.5-20)也是一个近似的计算式,但其计算精度可满足实际需要。

D.活塞尺寸的确定

由式(25.5-8)和式(25.5-11)知,活塞面积与压力和流量都有关,应根据整个液压系统的要求合理选定。此外,还应考虑来复螺旋副升角的影响。升角越大,活塞面积应选得越小。

(2)轴承的选用

由于来复运动的特点,主轴总是同时受径向力和轴向力。通常选用滑动轴承承受径向载荷,推力滚动轴承承受轴向载荷。滑动轴承需验算比压:

式中 FRmax——作用于滑动轴承上的最大径向载荷(N);

d——主轴直径(m);

l——滑动轴承长度(m);

[p]——许用比压(MPa)。活塞直线运动速度较低时,可取得大一些。钢与铸造青铜配合时,[p]=5MPa。

滚动轴承按静载荷选用。轴承上的额定静载荷应不小于1.5倍负载作用在轴承上的轴向力。

(3)花键的选用

传递输出转矩用的花键必须是齿侧定心。矩形牙或梯形牙的来复螺旋副,用矩形花键。渐开线形牙则用渐开线形花键。

(4)材料的选用

来复螺旋副通常用两种不同的材料制造。如钢和铸铁,钢和青铜。活塞可用两种材料组合也可用同一种材料。用一种材料时,与缸体配合处要有鼓形密封圈和尼龙环。滑动轴承可用尼龙制作。

随便看

 

离鸟网收录3541549条中英文词条,其功能与新华字典、现代汉语词典、牛津高阶英汉词典等各类中英文词典类似,基本涵盖了全部常用中英文字词句的读音、释义及用法,是语言学习和写作的有利工具。

 

Copyright © 2004-2024 vtrois.com All Rights Reserved
更新时间:2026/4/8 22:19:43