网站首页  词典首页


请输入您要查询的字词:

 

字词 来托司坦
类别 中英文字词句释义及详细解析
释义 来托司坦

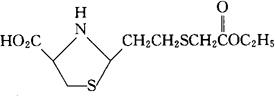
C10H17NO4S2=279.37

CAS-53943-88-7

2-[2-[(羧甲基)硫代]乙基]-4-噻唑烷羧酸-2-乙酯。

2-[2-[(Carboxymethyl)thio]ethyl]-4-thiazolidinecarboxylic acid 2-ethyl ester.

粘液溶解药,镇痛药。

Letosteine,Soluidal,Viscotiol.

INN,USAN.

随便看

 

离鸟网收录3541549条中英文词条,其功能与新华字典、现代汉语词典、牛津高阶英汉词典等各类中英文词典类似,基本涵盖了全部常用中英文字词句的读音、释义及用法,是语言学习和写作的有利工具。

 

Copyright © 2004-2024 vtrois.com All Rights Reserved
更新时间:2026/4/6 19:21:51