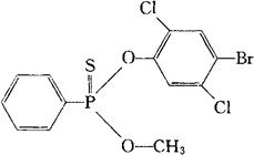
来普托膦
C13H10BrCl2O2PS CAS-21609-90-5 苯基硫代膦酸O-(4-溴-2,5-二氯苯基)O-甲酯。 PhenylphosphonothioicacidO-(4-bromo-2,5-dichlorophenyl)O-methyl ester. 苯基硫代膦酸O-(4-溴-2,5-二氯苯基)O-甲酯。 O-(4-Bromo-2,5-dichlorophenyl)O-methyl phenylphosphonothioate. 苯基硫代膦酸O-甲基O-2,5-二氯-4-溴苯酯。 O-MethylO-2,5-dichloro-4-bromophenyl phenylth iophosphonate. 杀虫药。 来普硫膦。 Leptophos,VCS 506,Abar,Phosvel. MI.  |