网站首页  词典首页


请输入您要查询的字词:

 

字词 来曲珠利
类别 中英文字词句释义及详细解析
释义 来曲珠利

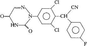
C17H9Cl2FN4O2=391.19

CAS-103337-74-2

(±)-[2,6-二氯-4-(4,5-二氢-3,5-二氧代-as-三嗪-2(3H)-基)苯基](对-氟苯基)乙腈。

(±)-[2,6-Dichloro-4-(4,5-dihydro-3,5-dioxo-astriazin-2(3H)-yl)phenyl](p-fluorophenyl)acetonitrile.

抗寄生虫药。

Letrazuril.

INN,USAN.

随便看

 

离鸟网收录3541549条中英文词条,其功能与新华字典、现代汉语词典、牛津高阶英汉词典等各类中英文词典类似,基本涵盖了全部常用中英文字词句的读音、释义及用法,是语言学习和写作的有利工具。

 

Copyright © 2004-2024 vtrois.com All Rights Reserved
更新时间:2026/4/8 6:33:28