杰文斯,W.S.
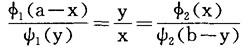
1835~1882 英国著名经济学家和逻辑学家,曾任曼彻斯特欧文学院逻辑道德哲学及政治经济学教授,伦敦大学政治经济学教授。 杰文斯的经济著述涉及经济学理论、经济政策及经济波动等方面。在经济政策上,他基本上是一个自由贸易论者。 在研究经济波动问题时,他最早试图编制价格指数,还提出了太阳黑子活动是周期性经济波动原因的荒谬观点。杰文斯以其《政治经济学理论》(1871年初版)奠定了作为边际效用价值论奠基者之一的地位而闻名于经济学界。在这部著作中,杰文斯系统地阐述了一种以消费心理变动为依据的主观价值论即“最后效用程度”价值论。他断言,商品价值并不是商品固有的属性,只是一种抽象的交换比率。 他认为,商品交换的目的在于追求最大限度效用。而达到此目标的条件是两种商品的最后效用程度对交换双方来说恰好相等,就是说,两个商品的交换比例,是交换后各个商品量的最后效用程度的比率的倒数。杰文斯用以表示该命题的交换方程式是:  其中a、b是交换双方最初占有的商品量;x、y是交换量:Φ1ψ1和Φ2ψ2分别表示两种商品对双方的最后效用程度。杰文斯的“最后效用程度”价值论是为对抗英国古典政治经济学传统的劳动价值论及其庸俗化形式生产成本论提出来的,其根本谬误在于以主观心理分析阉割商品价值这一范畴的客观历史性质。 |