松香皂化值的测定计算
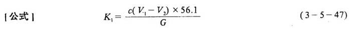
[说明]皂化值是表示1g松香与碱完全皂化时,所消耗的KOH毫克数。 [测定方法]准确称取2g已研细并能通过60目筛的样品于300mL锥形瓶中,加入25mL0.5N氢氧化钾——乙醇溶液,装上回流冷凝器,置于水浴上煮沸2h,煮沸期间不断摇晃,冷后加入数滴酚酞指示剂,用0.5mol/L盐酸标准溶液滴定至红色恰好消失,同时作空白试验。  式中 K1——皂化值(mg/g)(以KOH计) V1——空白试验耗用盐酸标准溶液量(mL) V,——滴定试样时耗用盐酸溶液体积(mL) c——盐酸标准溶液浓度(mol/L) G——试样重(g) 56.1——与1mL1mol盐酸溶液相当的氢氧化钾的量(mg) |