构成函数概念的三要素
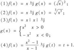
1.三要素是指定义域、对应法则、值域. 2.三要素中只要有一个不同的两个函数就是不同的函数. 3.三要素中都相同的两个函数是同一个函数. 例 下列各组函数中,表示同一函数的是  解 (1)、(3)、(4)中的f(x)与g(x)的定义域不同,不是同一函数,(2)中的函数,定义域相同,对应法则也相同,所以f(x)与g(x)表示同一函数. 注意 在函数的概念中,定义域、值域、对应法则是它的三要素,但最重要的是定义域和对应法则,值域则是由定义域与对应法则确定的,两个函数当且仅当其定义域与对应法则相同才是相同的函数. 区间 设a、b是两个实数,且a 满足x≥a,x>a,x≤b,x |