网站首页  词典首页


请输入您要查询的字词:

 

字词 构成变动工资指数
类别 中英文字词句释义及详细解析
释义 构成变动工资指数

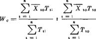
指反映具有不同工资水平的职工构成对总平均工资水平变动的作用程度的一个指标。其计算公式如下:

式中:Wc为构成变动工资指数;为基期某类职工平均工资;Ti1、Ti0分别为报告期、基期某类职工平均人数。

随便看

 

离鸟网收录3541549条中英文词条,其功能与新华字典、现代汉语词典、牛津高阶英汉词典等各类中英文词典类似,基本涵盖了全部常用中英文字词句的读音、释义及用法,是语言学习和写作的有利工具。

 

Copyright © 2004-2024 vtrois.com All Rights Reserved
更新时间:2026/4/7 3:14:56