网站首页  词典首页


请输入您要查询的字词:

 

字词 林可霉素[中]
类别 中英文字词句释义及详细解析
释义 林可霉素[中]

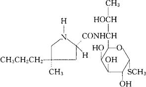
C18H34N2O6S=406.54

CAS-154-21-2

(2S-反式)-甲基6,8-二去氧-6-[[(1-甲基-4-丙基-2-吡咯烷基)-羰基]氨基]-1-硫代-D-赤-α-D-半乳糖-辛基吡喃糖苷。

(2S-trans)-Methyl 6,8-dideoxy-6-[[(1-methyl-4-propyl-2-pyrrolidinyl)carbonyl]amino]-1-thio-Derythro-α-D-galacto-octoyranoside.

甲基6,8-二去氧-6-反式-(1-甲基-4-丙基-L-2-吡咯烷甲酰胺基)-1-硫代-D-赤-α-D-半乳糖-辛吡喃糖苷。

Methyl 6,8-dideoxy-6-trans-(1-methyl-4-propyl-L2-pyrrolidinecarboxamido)-1-thio-D-erythro-α-D-galacto-octopyranoside.

抗生素类药。

洁霉素。

Lincomycin,U-10,149,Lincocin,Lincolnensin,NSC-70731.

INN,BAN,USAN.

随便看

 

离鸟网收录3541549条中英文词条,其功能与新华字典、现代汉语词典、牛津高阶英汉词典等各类中英文词典类似,基本涵盖了全部常用中英文字词句的读音、释义及用法,是语言学习和写作的有利工具。

 

Copyright © 2004-2024 vtrois.com All Rights Reserved
更新时间:2026/4/6 21:11:27