林带疏透度
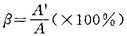
又称透光疏透度β。 林带结构特征的重要参数。林带纵断面上透光孔隙的投影面积A′与林带纵断面面积A之比。用小数或百分数表示。  式中A=L·H;L为林带长度;H为林带平均高度。 其值取决于林带密度(株行距)、宽度(行数)、树种组成及搭配方式等。林带密度大、较宽,枝叶茂密、冠形宽大的树种,主乔、亚乔和灌木搭配营造的复层结构的林带,疏透度较小;反之选用枝叶稀疏、冠形窄小的树种,不配植亚乔和灌木的密度小而窄的林带,则疏透度较大。一般紧密结构为0%~10%,疏透结构为15%~35%,通风结构上层和下层分别为0%~10%和78%。 |