网站首页  词典首页


请输入您要查询的字词:

 

字词 林带透风系数
类别 中英文字词句释义及详细解析
释义 林带透风系数

鉴定林带动力效应的重要参数。

当风向垂直林带时,背风面林缘林带高度H以下的平均风速与旷野同一高度平均风速之比,以小数或百分数表示。也称透风度。

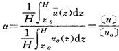
若以ū(z)表示林带背风面林缘的平均风速;uo(z)表示旷野的平均风速,则透风系数α为:

式中zo为地面粗糙高度;〔 〕表示对空间的平均。

在生产和研究中,常以透风系数值作为判断林带结构优劣的主要指标。

透风系数能反映林带的动力特征,在研究林带动力效应时应用较广。各种结构林带透风系数的指标是:紧密结构为10%~30%;疏透结构为40%~70%;通风结构下部>80%,树冠部<30%。

随便看

 

离鸟网收录3541549条中英文词条,其功能与新华字典、现代汉语词典、牛津高阶英汉词典等各类中英文词典类似,基本涵盖了全部常用中英文字词句的读音、释义及用法,是语言学习和写作的有利工具。

 

Copyright © 2004-2024 vtrois.com All Rights Reserved
更新时间:2026/4/8 5:29:24