网站首页  词典首页


请输入您要查询的字词:

 

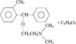
字词 枸橼酸奥芬那君
类别 中英文字词句释义及详细解析
释义 枸橼酸奥芬那君

C18H23NO·C6H8O7=461.51

CAS-4682-36-4

N,N-二甲基-2-[(邻-甲基-α-苯基苄基)氧]乙胺枸橼酸盐(1∶1)。

N,N-Dimethyl-2-[(o-methyl-α-phenylbenzyl)oxy] ethylamine citrate(1∶1).

解痉药。

枸橼酸邻苯海明。

Banflex,Norflex,Orphenadrine Citrate.

BP,USAN,USP,MI.

随便看

 

离鸟网收录3541549条中英文词条,其功能与新华字典、现代汉语词典、牛津高阶英汉词典等各类中英文词典类似,基本涵盖了全部常用中英文字词句的读音、释义及用法,是语言学习和写作的有利工具。

 

Copyright © 2004-2024 vtrois.com All Rights Reserved
更新时间:2026/4/7 6:17:08