网站首页  词典首页


请输入您要查询的字词:

 

字词 枸橼酸托瑞米芬
类别 中英文字词句释义及详细解析
释义 枸橼酸托瑞米芬

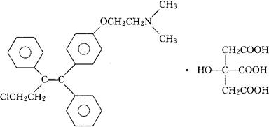
C26H28ClNO·C6H8O7=598.09

CAS-89778-27-8

CAS-89778-26-7(toremifene)

(Z)-2-[4-(4-氯-1,2-二苯基-1-丁烯基)苯氧基]-N,N-二甲基-乙基胺,,2-羟-1,2,3-丙烷三羧酸(1∶1)。

Ethanamine,2-[4-(4-chloro-1,2-diphenyl-1-butenyl)phenoxy]-N,N-dimethyl-,(Z)-,2-hydroxy-1,2,3-propanetricarboxylate(1∶1).

2-[[对-(Z)-4-氯-1,2-二苯基-1-丁烯基]苯氧基]-N,N-二甲基乙胺枸橼酸盐(1∶1)。

2-[[p-(Z)-4-Chloro-1,2-diphenyl-1-butenyl]phenoxy]-N,N-dimethylethylamine citrate(1∶1).

雄激素拮抗药,抗癌药。

Toremifene Citrate,FC-1157a.

INN and BAN(Toremifene),USAN.

随便看

 

离鸟网收录3541549条中英文词条,其功能与新华字典、现代汉语词典、牛津高阶英汉词典等各类中英文词典类似,基本涵盖了全部常用中英文字词句的读音、释义及用法,是语言学习和写作的有利工具。

 

Copyright © 2004-2024 vtrois.com All Rights Reserved
更新时间:2026/4/8 10:08:04