枸橼酸黄连素[中]
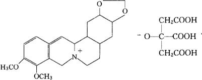
C20H18NO4·C6H7O7=527.5 CAS-2086-83-1(berberine) 5,6-二氢-9,10-二甲氧基苯并[g]-1,3-苯并二氧杂环[5.6-a]喹嗪嗡枸橼酸盐。 5,6-Dihydro-9,10-dimethoxybenzo[g]-1,3-benzodioxolo[5.6-a]quinolizinium citrate. 抗菌药。用于痢疾杆菌等的肠道感染。 枸橼酸小檗碱。 Berberine Citrate. 枸橼酸小檗碱片,枸橼酸小檗碱注射液。  |