网站首页  词典首页


请输入您要查询的字词:

 

字词 柯西分布
类别 中英文字词句释义及详细解析
释义 柯西分布

由法国数学家柯西(Augustin Louis Cauchy,1789-1857)提出。

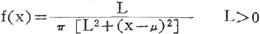
设随机变量x的密度函数为:

则称x服从柯西分布。

分布呈丘形,对称于μ。

它只在限定意义下有平均数,而高阶矩都不存在,在中心极限定理及均值的讨论中常作为异常的特例。

加法定理成立,即C(L1,μ1)与C(L2,μ2)的卷积等于C(L1+L2,μ12)。

自由度为1的t分布即L=1,μ=0的柯西分布,在原子和核转变理论中要用到。

分布函数

随便看

 

离鸟网收录3541549条中英文词条,其功能与新华字典、现代汉语词典、牛津高阶英汉词典等各类中英文词典类似,基本涵盖了全部常用中英文字词句的读音、释义及用法,是语言学习和写作的有利工具。

 

Copyright © 2004-2024 vtrois.com All Rights Reserved
更新时间:2026/4/9 14:44:40