网站首页  词典首页


请输入您要查询的字词:

 

字词 标准M/M/C排队模型
类别 中英文字词句释义及详细解析
释义 标准M/M/C排队模型

模型条件:

除服务机构为多台(C台)并列服务,且平均服务率相同,即μ1=u2=…=μc外,其余条件同模型M/M/1。

系统运行主要指标计算公式:

(1)服务强度:

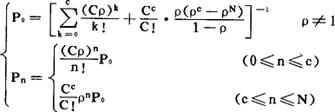
(2)系统中没有顾客和有n个顾客的概率:

(3)系统中队长的期望值:

Ls=Lq+Cρ

(4)系统中队列长的期望值:

(5)系统中顾客逗留时间的期望值:

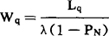
(6)系统中顾客排队等候时间期望值:

〔参〕排队模型分类 标准M/M/1模型

系统容量有限制(N)的M/M/C排队模型

模型条件:

系统的容量最大限制为N(≥C),其他条件与标准M/M/C模型相同。

系统运行主要指标计算公式:

(1)服务强度:

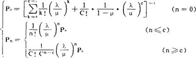
(2)系统中没有顾客和有n个顾客的概率:

(3)系统中队长的期望值:

Ls=Lq+cp(1-PN)

(4)系统中队列长的期望值:

(5)系统中顾客逗留时间的期望值:

(6)系统中顾客排队等候时间的期望值:

〔参〕排队模型分类 标准M/M/1排队模型

随便看

 

离鸟网收录3541549条中英文词条,其功能与新华字典、现代汉语词典、牛津高阶英汉词典等各类中英文词典类似,基本涵盖了全部常用中英文字词句的读音、释义及用法,是语言学习和写作的有利工具。

 

Copyright © 2004-2024 vtrois.com All Rights Reserved
更新时间:2026/4/7 14:26:35