标准分法
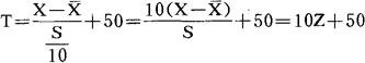
体育测定的评价方法之一。 标准分是以平均数为基准,以标准差为单位的相对分值,因而没有计量单位。若将不同计量单位的资料全部换算成标准分,就可以相互比较,并能进行加减运算,因此标准分法是体育测定中最常用的一种计分方法。 标准分又分为Z分、T分及H分。 (1)Z分 表示实测值位于平均值以上或以下多少个标准差。 其计算公式为: (数值愈小,表明成绩愈好的项目,如游泳、赛跑等,应将该式中的X与 对调计算) 其中X为实测值(成绩), 为平均值,S为标准差。Z分的特点是计算简便,而且易于直观地判断成绩的实际水平。但因Z分有正数与负数,不便做算术运算。 (2)T分 为使Z分全变成正数,可将Z分的计算公式做如下变换,即以 代替原公式中的S,再加50:  由上式可知,Z分的0分为T分的50分,Z分的正1分为T分的60分,Z分的负1分为T分的40分。 在平均值±3个标准差的范围内,T分的分布范围为20~80分。 为使分数的分布范围扩大到1~100分,可计算H分: H=16Z+50 |