标准差
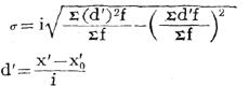
亦称“均方根差”。 简称“均方差”。各总体单位的标志值对算术平均数的离差平方之和,除以总体单位数后再开平方所得的根。测定标志变动度的最重要指标。 有下列五种计算公式:  用组距数列计算的标准差简捷法公式:  公式中,σ(sigma)代表标准差,x代表各标志值, 代表算术平均数,x'代表各组中值,x0代表假定平均数所在组的组中值,f代表各组次数,i代表组距,∑为总计的符号。 用简捷法计算的标准差为近似值。 标准差的性质和特点是:(1)从所有单位的标志值计算出来,能综合地反映所有标志值的离差程度;(2)符合代数计算法,能够参加其他各种数学运算;(3)它是许多其他统计指标如正态曲线、相关系数、统计检验等的计算公式中的因素:(4)它的计算符合最小二乘法,标志值对算术平均数的离差的“均方根”是最小的;(5)在正态分布的情况下,落在 范围内的单位数为总体单位数的68.27%,落在 范围内的单位数为95.45%,落在 范围内的单位数为99.73%。但是这种情况在数列偏斜较大时,就不完全真实;(6)标准差以标志值的计量单位为单位;(7)标准差愈大,说明标志变动度愈大;反之,愈小;(8)它因标志值水平高低而异,如小学生的体重标准差与大学生的体重标准差虽然单位相同,但不能对比。 |