网站首页  词典首页


请输入您要查询的字词:

 

字词 标准差
类别 中英文字词句释义及详细解析
释义 标准差

又称均方差。

指各变量值与算术平均数相减之差的平方,除以总体单位数后的算术平方根。它是在单纯随机抽样调查中反映所抽样本集中程度的指标。

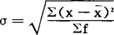
其计算公式为:

上式在原始资料未经分组整理的情况下运用。

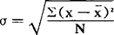
上式在统计资料已经编成变量数列的情况下运用。

式中:σ表示标准差;x表示标志值;表示算术平均数;N表示总体单位数;∑表示总和符号;f表示次数。

举例说明如下,见表1:

表1 某车间生产班组日产件数标准差的计算

根据变量数列来计算标准差则以各组的次数作权数,举例说明如下,见表2:

表2 某月某企业职工工资标准差的计算

标准差的计量单位与标志值相同。

标准差反映数列中所有各单位标志值对平均数离差的程度。标准差的值愈小,表明样本之间的集中程度愈高;反之,则表明样本之间的分散程度愈高。

随便看

 

离鸟网收录3541549条中英文词条,其功能与新华字典、现代汉语词典、牛津高阶英汉词典等各类中英文词典类似,基本涵盖了全部常用中英文字词句的读音、释义及用法,是语言学习和写作的有利工具。

 

Copyright © 2004-2024 vtrois.com All Rights Reserved
更新时间:2026/4/7 22:53:41