网站首页  词典首页


请输入您要查询的字词:

 

字词 标准差
类别 中英文字词句释义及详细解析
释义 标准差

方差的平方根。

它表示随机变量对其数学期望的平均离差。

随机变量Z的标准差的计算公式是:

式中,σx表示X的标准差,E为数学期望符号。

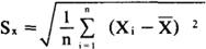
对于从总体中抽取的随机样本,其标准差计算公式是:

式中,Sx表示样本标准差,Xi(i=1,…,n)为样本第i个观测值,i为样本均值。

随便看

 

离鸟网收录3541549条中英文词条,其功能与新华字典、现代汉语词典、牛津高阶英汉词典等各类中英文词典类似,基本涵盖了全部常用中英文字词句的读音、释义及用法,是语言学习和写作的有利工具。

 

Copyright © 2004-2024 vtrois.com All Rights Reserved
更新时间:2026/4/7 4:21:26