网站首页  词典首页


请输入您要查询的字词:

 

字词 标准差控制图
类别 中英文字词句释义及详细解析
释义 标准差控制图

指根据样本的标准差(σ)加减其相应的3个标准误制定控制界限,据此对生产过程(或工序)进行控制的一种产品质量控制图。

样本标准差的分布,在大样本条件下(n>30)接近于正态分布。样本量愈小,样本标准差呈偏倚状态,曲线愈不对称。

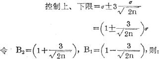
中心线CL=σ

若已知σ,则:

控制上、下限=B2σ和B1σ

若总体标准差为未知,已知样本标准差的平均数(),则:

B1、B2、B3和B4数值根据样本容量(n)可查表取得。

随便看

 

离鸟网收录3541549条中英文词条,其功能与新华字典、现代汉语词典、牛津高阶英汉词典等各类中英文词典类似,基本涵盖了全部常用中英文字词句的读音、释义及用法,是语言学习和写作的有利工具。

 

Copyright © 2004-2024 vtrois.com All Rights Reserved
更新时间:2026/4/8 1:29:10