网站首页  词典首页


请输入您要查询的字词:

 

字词 标准差简捷法
类别 中英文字词句释义及详细解析
释义 标准差简捷法

计算标准差的简捷方法。

用组距数列计算标准差,运用简捷法可以节省不少工作量。其计算方法是

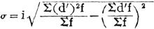
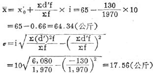
在算术平均数据简捷法的基础上,进一步求均方差。其步骤如下:(1)将资料编成组距数列;(2)选定接近平均数的一组的组中值为假定平均;(3)定各组中值(X)对假定平均数的组距差,,i代表组距;(4)以各组次数乘其组距差(d)得(df);(5)求f、(d)f、(d)f三者之各;(6)求平均数;(7)代入公式求标准差σ,

假定平均数(x'0)=65公斤

随便看

 

离鸟网收录3541549条中英文词条,其功能与新华字典、现代汉语词典、牛津高阶英汉词典等各类中英文词典类似,基本涵盖了全部常用中英文字词句的读音、释义及用法,是语言学习和写作的有利工具。

 

Copyright © 2004-2024 vtrois.com All Rights Reserved
更新时间:2026/4/7 11:26:17