网站首页  词典首页


请输入您要查询的字词:

 

字词 标准投资回收期内年费用和总费用
类别 中英文字词句释义及详细解析
释义 标准投资回收期内年费用和总费用

固定资产投资项目在规定的标准投资回收期内平均每年负担的费用,称为标准投资回收期内的年费用。

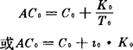
固定资产投资项目在规定的标准投资回收期内发生的费用,称为标准投资回收的总费用。这是评价投资项目备选方案优劣的两个指标。费用水平较低的方案较优。其公式分别为:

SC0=T0·C0+K0

式中:AC0表示标准投资回收期内年费用;SC0表示标准投资回收期内的总费用;T0表示标准投资回收期(只用利润补偿投资额的方法计算);K0表示投资额;C0表示年成本(包括折旧费用);表示标准投资效益系数,即标准的投资报酬率。

随便看

 

离鸟网收录3541549条中英文词条,其功能与新华字典、现代汉语词典、牛津高阶英汉词典等各类中英文词典类似,基本涵盖了全部常用中英文字词句的读音、释义及用法,是语言学习和写作的有利工具。

 

Copyright © 2004-2024 vtrois.com All Rights Reserved
更新时间:2026/4/8 19:02:30