标准投资效益系数和标准投资回收期
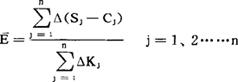
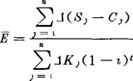
评价技术方案的投资效益系数和投资回收期合理性的尺度,是选择技术方案的决策标准。 选择技术方案的最低条件是: E≥En或Ea≥En, T≤Tn或Ta≤Tn 式中:En表示标准投资效益系数;Tn表示标准投资回收期;T表示计算出的投资回收期;Ta表示计算出的追加投资回收期。 计算标准投资效益系数时的两个有关公式: 平均投资利润率  式中: 表示部门平均投资利润率;ΔKj表示部门j年的投资增加额;Δ(Sj-Cj)表示部门j年的利润增加额;n表示资料统计年数。 考虑时间因素,应把各年的投资额换算成为平均建设周期终点的货币价值,平均利润率的计算应修正为:  式中:i表示考虑投资时间因素在内的平均投资利润率;t表示平均建设周期年限。 |