标准木法
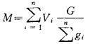
在林分或标准地中,用标准木实测材积推算全林分蓄积量的方法。 可概分为两类: ❶ 平均标准木法。选取1~3株与林分平均直径和平均高接近(不超过5%),且干形中等的树木作为平均标准木,伐倒、区分实测树干材积,按下式推算全林蓄积。  式中n为标准木株数;Vi、gi为第i株标准木的材积与胸高断面积;G、M为标准地或林分的断面积、蓄积的总和。 ❷ 分级标准木法。将全部林木按株数或断面积按径阶分为3~5个径级,依径级平均标志值选测平均木,以径级汇总得全林蓄积量。分级方法有等株径阶标准木法、等断面积标准木法、径阶等比标准木法。用平均标准木法推算蓄积的误差为±5%,而分级标准木法为±3%。 |