网站首页  词典首页


请输入您要查询的字词:

 

字词 标准重量
类别 中英文字词句释义及详细解析
释义 标准重量

棉花的标准重量,就是在规定的标准含水与标准含杂的条件下,用实际计算的棉花的水杂与标准水杂比较后实行扣补。

如该批棉花的水杂之和未达到标准的水杂之和,则要增加所差额的重量;如果该批棉花的水杂之和已超过标准的水杂之和,则要减去所超过的重量。所有这些增减都是以含水杂的百分率为依据,以百分比的形式进行的。

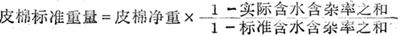
在日常业务中,则通过公式计算得到。

标准重量亦可称为准重,是用于国内棉花交接结算的一种重量形式。

规定标准重量有助于控制棉花中水杂的含量。提高棉花的使用价值。

皮棉标准重量与棉短绒的标准重量均采用下式计算:

在棉花经营上,采取这种方法计算皮棉(或棉短绒)水杂含量在标准状态下的“标准重量”,实现水杂扣补的目的。为了计算方便,习惯使用皮棉准重系数表,按实际含水含杂率之和查出系数,皮棉净重乘以准重系数,即可得出皮棉标准重量。

随便看

 

离鸟网收录3541549条中英文词条,其功能与新华字典、现代汉语词典、牛津高阶英汉词典等各类中英文词典类似,基本涵盖了全部常用中英文字词句的读音、释义及用法,是语言学习和写作的有利工具。

 

Copyright © 2004-2024 vtrois.com All Rights Reserved
更新时间:2026/4/8 5:13:55