网站首页  词典首页


请输入您要查询的字词:

 

字词 栗壳牛肝菌
类别 中英文字词句释义及详细解析
释义 栗壳牛肝菌

【名称出处】:《全国中草药汇编》

【概况】:

异名 滑蕈(《西园蕈谱》),点柄粘盖牛肝菌(《中国药用真菌》),蘑菇((陕西中药名录》)。

基源 为牛肝菌科乳牛肝菌属真菌点柄乳牛肝菌的子实体。

原植物 点柄乳牛肝菌Suillus granulatus(L.ex Fr.)O.Ktze.,又名点柄粘盖牛肝(《中国的真菌》)。

历史 《西园蕈谱》载:“滑蕈,状似时候坊蕈,而盖苍赤色,里黄有针孔,茎白。味酸而滑。

”即系本品。

形态 丛生或单生;菌盖扁半球形或近扁平,直径2.4~5.1cm,大型个体可达9cm,很粘,草黄色或深蜜黄色至深肉桂色或浅朽叶色;菌肉幼小时白色,后呈淡黄色;菌柄黄色,近柱形3~6×0.6~1.2cm,中实,表面散生红褐色小腺点,鲜时黄色,干后色暗;菌管层直生;管口圆形至多角形,黄色,每1cm7~9个,新鲜时有乳黄色乳汁流出,乳汁干后成颗粒状。

孢子椭圆形至棱形,壁表平滑,6.6~9.5×3.8μm。

生境与分布 生于松林或混交林的地上,形成菌根。

分布于河北、山西、辽宁、山东、江苏、安徽、浙江、湖北、湖南、贵州、云南。

【化学】:

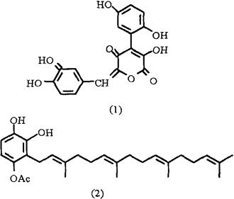
含吡喃衍生物[1]GrevillinD(1),还含具有抗癌活性的化合物牛肝菌素Suillin[2](2),及抗微生物活性的四异戊烯基苯酚类化合物[3]:2-乙酰氧基-3-牻牛儿基牻牛儿基-1,4-二羟基苯(2-Acetoxy-3-geranylgeranyl-1,4-dihydroxy-benzene)、3-牻牛儿基牻牛儿基-1,2-二羟基-4-甲氧基苯(3-Geranylgeranyl-1,2-dihydroxy-4-methoxy-benzene)、1-乙酰氧基-6-牻牛儿基牻牛儿基-2,4-二羟基苯(1-Acetoxy-6-geranylgeranyl-2,4-dihydroxybenzene)、6-牻牛儿基牻牛儿基-2,4-二羟基-1-甲氧基苯(6-Geranylgeranyl-2,4-dihydroxy-1-methoxybenzene)及5,6-二羟基-2-甲基-2[3’,7’E]-4’,8’,12’-三甲基-十三-3’,7’,11’-三烯-2(H)-苯并吡喃(5,6-Dihydroxy-2-methyl-2[3’,7’E]-4’,8’,12’-trimethyltrideca-3’,7’,11’-trien-2(H)-chromene)。还含有阿糖醇(Arabitol)、甘露糖醇(Mannitol)[4]以及蛋白质、氨基酸[5]、硒等无机元素[6]

参考文献 [1] CA 1975;82:135663g [2] J Nat Prod 1989;52(4):844 [3] J Nat Prod 1989;52(5):941 [4] CA 1980;92:145042z [5] CA 1984;101:5746m [6] CA 1988 108:149135d

【药性】:

性味 甘,温。

《西园蕈谱》:“酸而滑。”

主治 《新华本草纲要》:“大骨节病。”

随便看

 

离鸟网收录3541549条中英文词条,其功能与新华字典、现代汉语词典、牛津高阶英汉词典等各类中英文词典类似,基本涵盖了全部常用中英文字词句的读音、释义及用法,是语言学习和写作的有利工具。

 

Copyright © 2004-2024 vtrois.com All Rights Reserved
更新时间:2026/4/9 17:12:18