网站首页  词典首页


请输入您要查询的字词:

 

字词 校正防效
类别 中英文字词句释义及详细解析
释义 校正防效

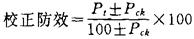
田间药剂防治试验中因对照区虫情变化,处理区的防治效果必须校正的统计方法。

Pt为处理区在防治前后的活虫差数(用%表示);Pck为对照区防治前后虫群增加或减少百分率(%);对照区虫群增加用“+”,减少时用“-”

随便看

 

离鸟网收录3541549条中英文词条,其功能与新华字典、现代汉语词典、牛津高阶英汉词典等各类中英文词典类似,基本涵盖了全部常用中英文字词句的读音、释义及用法,是语言学习和写作的有利工具。

 

Copyright © 2004-2024 vtrois.com All Rights Reserved
更新时间:2026/4/7 4:15:21