网站首页  词典首页


请输入您要查询的字词:

 

字词 样本容量
类别 中英文字词句释义及详细解析
释义 样本容量

亦称“样本大小”。

指抽样总体所包含单位的数目。如样本中包含几个单位数,则样本容量为n。样本容量有大小之分,包括很多单位的样本,称为大样本;包括很少单位的样本,则称为小样本。小样本理论是英国统计学家戈赛特(William Sealy Gosset)所首创。

大样本和小样本怎样划分,无一定标准,国际统计界的多数学者认为,研究一个单纯项目,抽样总体包含三十个以上的单位时,即可认作大样本,但也有主张以五十或一百个单位作为划分标准。

根据大数法则,样本容量和抽样误差之间有密切关系。

为了避免抽取单位过多或过少,对样本容量应预先加以规定。在一定概率的保证下,使误差局限在允许范围内,即可计算出必需的样本容量。

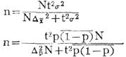
在重复抽样条件下测定总体平均数或总体成数,必需的样本容量为:

在不重复抽样条件下测定总体平均数或总体成数,必需的样本容量为:

上式n为必需的样本容量,t为概率度,σ为总体均方差,△x和△p为误差范围。

随便看

 

离鸟网收录3541549条中英文词条,其功能与新华字典、现代汉语词典、牛津高阶英汉词典等各类中英文词典类似,基本涵盖了全部常用中英文字词句的读音、释义及用法,是语言学习和写作的有利工具。

 

Copyright © 2004-2024 vtrois.com All Rights Reserved
更新时间:2026/4/8 5:43:40