网站首页  词典首页


请输入您要查询的字词:

 

字词 样本特征数
类别 中英文字词句释义及详细解析
释义 样本特征数

主要指“样本均值”和“样本方差”及“样本标准差”。

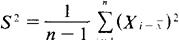
设从总体抽取一组样本:X1,X2……Xn,称

为“样本均值”。称

为“样本方差”。称

为“样本标准差”。

在实用中,常用“样本均值”估计总体均值μ,用“样本方差”S2去估计“总体方差”σ,用“样本标准差”S去估计“总体标准差”σ。

随便看

 

离鸟网收录3541549条中英文词条,其功能与新华字典、现代汉语词典、牛津高阶英汉词典等各类中英文词典类似,基本涵盖了全部常用中英文字词句的读音、释义及用法,是语言学习和写作的有利工具。

 

Copyright © 2004-2024 vtrois.com All Rights Reserved
更新时间:2026/4/7 6:43:17