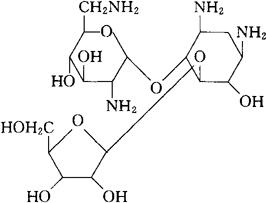
核糖霉素
C17H34N4O10=454.48 CAS-25546-65-0 O-2,6-二氨基-2,6-二脱氧-α-D-吡喃葡糖基(1→4)-O-[β-D-呋喃核糖基(1→5)]-2-脱氧链霉胺。 O-2,6-Diamino-2,6-dideoxy-α-D-glucopyranosyl(1→4)-O-[β-D-ribofuranosyl-(1→5)]-2-deoxystreptamine. 抗生素类药。用于金黄色葡萄球菌、链球菌、肺炎球菌,大肠杆菌痢疾杆菌等的感染。 威他霉素,核糖斯太霉素。 Ribostamycin,Vistamycin. INN,BAN,DCIT,JAN,JP,NFN,USAN,MI.  |