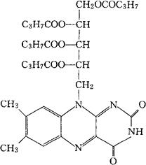
核黄素四丁酸酯[中]
C33H44N4O10=656.73 6,7-二甲基-9(D-1′-核糖醇四丁酸酯)异咯嗪。 6,7-Dimethyl-9(D-1′-ribitolyl tetrabutyrate)isoalloxazine. 维生素类药。用于防治血栓形成,动脉粥样硬化及防治因缺乏维生素B2引起的口角炎、舌炎、阴囊炎、酯溢性皮炎等。 维脉宁,核黄素四丁酯,维生素B2四丁酸酯。 Bituvitan,Riboflavine Tetrabutyrate,Lacflavin,Riboract,Ribovis,Hibono. 核黄素四丁酸酯胶囊(维脉宁胶囊)。 MI.  |