网站首页  词典首页


请输入您要查询的字词:

 

字词 核黄素磷酸钠[中]
类别 中英文字词句释义及详细解析
释义 核黄素磷酸钠[中]

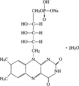
C17H20N4NaO9P·2H2O=514.36

CAS-130-40-5

6,7-二甲基-9-(D-1-核糖醇基)异咯嗪-5′-二氢磷酸单钠盐二水化合物。

6,7-Dimethyl-9-(D-1-ribitolyl)isoalloxazine-5′-(dihydrogen phosphate)monosodium salt dihydrate.

维生素类药。用于缺乏维生素B2所引起的各种粘膜及皮肤炎症。

核黄素-5′-磷酸酯钠,维生素B2磷酸钠。

Riboflavin 5′Phosphate Sodium,Riboflavin Phosphate Sodium,Flamotide,Cytoflav,Coflvinase,Hyryl,Vitamin B2 Phosphate Sodium.

核黄素磷酸钠注射液。

BP,JP,USAN,USP,MI.

随便看

 

离鸟网收录3541549条中英文词条,其功能与新华字典、现代汉语词典、牛津高阶英汉词典等各类中英文词典类似,基本涵盖了全部常用中英文字词句的读音、释义及用法,是语言学习和写作的有利工具。

 

Copyright © 2004-2024 vtrois.com All Rights Reserved
更新时间:2026/4/7 2:39:48