根据叶轮直径和转速粗算扬程
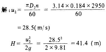
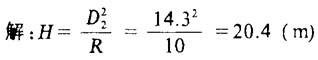
1.方法一  式中 n——泵的转速(r/min) D2——叶轮外径(m) u2——叶轮圆周速度(m/s) H——泵的估计扬程(m) q——重力加速度(m/s2) [例]有一台离心泵,其标牌已丢失,但从与泵直联的电机标牌上查知电机转速为n=2950r/min,叶轮的外径经测后得知为D2=184mm,试估算此泵扬程。  2方法二 [说明]该估算公式,对比转数为180的泵比较接近;对比转数小于180的泵,结果偏小;对比转数大于180的泵,算得的结果偏大。但对混流泵和轴流泵,此式不适合。  式中 H——水泵扬程(m) D2——水泵叶轮外径(cm) R——常数,对2极电机(转速为2950r/min)R=10;对4极电机(转速为1450r/min),R=40;对6极电机(其转速为970r/min),R=100 [例]与水泵直联的电机转速n=2950r/min,水泵叶轮直径为D2=14.3cm,求此泵的扬程。  |