格兰杰因果律
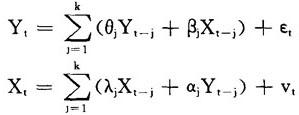
为检验经济变量间的因果关系,格兰杰于1969年利用滞后分布的概念提出了以其名字命名的因果性定义,并给出了这种因果关系的存在性检验,被称为格兰杰因果律。 按常理,由将来不能推测过去,如果变量X是导致变量Y的原因,则变量X的变化将先于Y的变化。格兰杰提出,如果利用X与Y的滞后值对Y进行预测比只用Y的滞后值来预测,产生的预测误差小,即: σ2(Yt|Yt-k,对#k>0)>σ2(Yt|(Yt-k,Xt-k),对#k>0), 称X是Y的格兰杰原因,记为X→Y。 格兰杰因果性检验:考虑下面的回归  (其中,扰动项εt与vt不相关)以及与之对应的零假设 H0x:βj=0 j=1,…,k (1) H0y:αj=0 j=1,…,k (2) 对(1)(2)分别应用线性等式约束下的最小二乘估计进行假设检验,该检验方法是由G.Tintner提出来的,故称为Tintner检验。 根据检验结果,可将格兰杰因果性分为以下四种情形: 单向因果性X→Y:若拒绝H0x,但接受H0y; 单向因果性Y→X:若拒绝H0y,但接受H0x; 双向因果性Y#X:若拒绝H0y,也拒绝H0x; 独立性X⊥Y:若接受H0x,也接受H0y。 双向因果性又称为反馈(feedback)。 |