网站首页  词典首页


请输入您要查询的字词:

 

字词 格列布唑
类别 中英文字词句释义及详细解析
释义 格列布唑

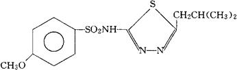
C13H17N3O3S2=327.42

CAS-3567-08-6

N-(5-异丁基-1,3,4-噻二唑-2-基)-对-甲氧苯磺酰胺。

N-(5-Isobutyl-1,3,4-thiadiazol-2-yl)-p-methoxybenzenesulfonamide.

降血糖药。

Glysobuzole.

INN,DCF,USAN.

随便看

 

离鸟网收录3541549条中英文词条,其功能与新华字典、现代汉语词典、牛津高阶英汉词典等各类中英文词典类似,基本涵盖了全部常用中英文字词句的读音、释义及用法,是语言学习和写作的有利工具。

 

Copyright © 2004-2024 vtrois.com All Rights Reserved
更新时间:2026/4/8 20:09:29