格列氟胺
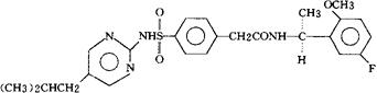
C25H29FN4O4S=500.59 CAS-35273-88-2 (S)-(-)-N-[1-(5-氟-2-甲氧苯基)乙基]-4-[[[5-(2-甲基丙基)-2-嘧啶基]氨基]磺酰]苯乙酰胺。 (S)-(-)-N-[1-(5-Fluoro-2-methoxyphenyl)ethyl]-4-[[[5-(2-methylpropyl)-2-pyrimidinyl]amino]sulfonyl]benzeneacetamide. (-)-(S)-N-(5-氟-2-甲氧-α-甲基苄基)-2-[对-[(5-异丁基-2-嘧啶基)氨磺酰]苯基]乙酰胺。 (-)-(S)-N-(5-Fluoro-2-methoxy-α-methylbenzyl)-2-[p-[(5-isobutyl-2-pyrimidinyl)sulfamoyl]phenyl]acetamide. 降血糖药,抗糖尿病药。 Gliflumide,SH 3.1168,ZK 28200. INN,USAN.  |