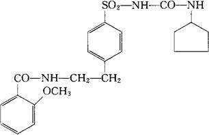
格列生脲
C22H27N3O5S=445.53 CAS-32797-92-5 1-环戊基-3-[[对-[2-(邻-茴香酰胺)乙基]苯基]磺酰]脲。 1-Cyclopentyl-3-[[p-[2-(o-anisamido)ethyl]phenyl]sulfonyl]urea. N-[2-[4-[[[(环戊氨基)羰基]氨基]磺酰]苯基]乙基]2-甲氧苯甲酰胺。 N-[2-[4-[[[(Cyclopentylamimo)carbonyl]amino]sulfonyl]phenyl]ethyl]2-methoxybenzamide. 降血糖药,抗糖尿病药。 格列戊脲。 Glisentide,Glipentide,Staticum,UR 661. INN,USAN.  |