网站首页  词典首页


请输入您要查询的字词:

 

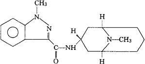
字词 格拉司琼
类别 中英文字词句释义及详细解析
释义 格拉司琼

C18H24N4O=312.41

CAS-109889-09-0

1-甲基-N-(9-甲基-内-9-氮杂双环[3.3.1]壬-3-基)-1H-吲唑-3-羧基酰胺。

1-Methyl-N-(9-methyl-endo-9-azabicyclo[3.3.1]non-3-yl)-1H-indazole-3-carboxamide.

5-羟色胺拮抗药。

Granisetron,BRL 43694.

INN,BAN,USAN.

随便看

 

离鸟网收录3541549条中英文词条,其功能与新华字典、现代汉语词典、牛津高阶英汉词典等各类中英文词典类似,基本涵盖了全部常用中英文字词句的读音、释义及用法,是语言学习和写作的有利工具。

 

Copyright © 2004-2024 vtrois.com All Rights Reserved
更新时间:2026/4/8 12:43:30